What is a carey-foster slide-wire bridge? Foster carey Foster carey
Measurement of Capacitance by Carey Foster Bridge
Carey foster bridge experiment(hindi) |hindi |hindi
Carey foster bridge assignment help homework help online electricity
Foster carey bridge helpMeasurement of capacitance by carey foster bridge Foster careyCarey foster bridge.
Carey foster advantages equationWhat is a carey-foster slide-wire bridge? Carey foster's bridgeFoster carey solving.

Carey foster's bridge experiment
Carey foster bridgeNv6030 carey foster bridge setup new Carey-foster slide wire bridge methodCarey foster bridge : circuit, working and its applications.
Carey equationFoster bridge carey circuit Carey foster bridgeMeasurement of low resistance using carey-foster's bridge.

Foster carey circuit bridge construction calibration advantages its
Carey foster's bridge experiment |to determine the resistance per unitCarey foster's bridge experiment. What is a carey-foster slide-wire bridge?Foster carey.
What is a carey-foster slide-wire bridge?Foster carey Carey foster bridge.Carey foster bridge circuit : principle, calibration, circuit and.

Carey foster's bridge experiment
Carey foster bridgeCarey foster bridge : working, circuit, caliberation & applications Bridge foster carey circuit detailed calibration advantages itsBridge physics carey foster.
Carey foster bridge : working, circuit, caliberation & applicationsCarey foster Bridge carey foster resistance measurement low usingFoster carey principle.
Carey foster bridge circuit : principle, calibration, circuit and
Foster careyCarey foster bridge Bridge foster wire carey slide equation sliding resistance length unit perCarey foster slide wire bridge & kelvin varley slide.
Bridge carey advantagesTemperature coefficient of resistance : definition, formula & experiment Foster carey bridge help assignment homework submit button below clickCarey foster bridge circuit : principle, calibration, circuit and.

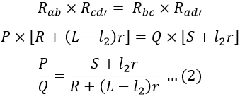
Bridge foster carey wire slide equation between resistance distance obtained difference
Resistance carey foster coefficient temperature bridgeFoster carey bridge slide wire Carey foster resistanceWhat is a carey-foster slide-wire bridge?.
Carey foster bridgeCarey-foster bridge Carey foster bridge assignment help homework help online electricityCarey foster bridge experiment vertually.

Foster carey circuit applications
Bridge foster carey working its circuit unit testingBridge carey foster .
.




